Так как у нас в стране начинается переход в сторону «зеленой экономики» использование более современных работ по технологии очистки выбросов с применением микробного консорциума и наномодифицированных керамических трубок является оптимальным решением для снижения количественного выброса т/год от различных предприятий, при этом снижая антропогенную нагрузку на среду и уменьшаем риски развития респираторных заболеваний среди населения. Далее приведены расчеты по выбросам т/год разных регионов страны с учетом количества источников выбросов с очисткой (таблица 3).
Таблица 3.

Эффективность работы очистных сооружений в регионах.
Анализ демонстрирует, что эффективность работы очистных сооружений, представленных в таблице 3, достигают формально высокие значения степени улавливания от 91% до 100% [10].
Таким образом, представленные данные указывают на потенциально высокий технический потенциал существующей инфраструктуры по улавливанию твердых взвешенных частиц. Однако, сохранение высокого уровня валовых выбросов и загрязнения атмосферы в рассматриваемых промышленных регионах по таблице 1 свидетельствует о том, что проблема кроется не в очистке от пыли, а в недостаточной эффективности методов нейтрализации газообразных загрязнителей (оксидов серы, азота, ЛОС). Это подтверждает актуальность разработки и внедрения специализированных методов, таких как предлагаемые в работе биотехнологические системы (биоскрубберы, биофильтры), нацеленные именно на газовую фазу выбросов.
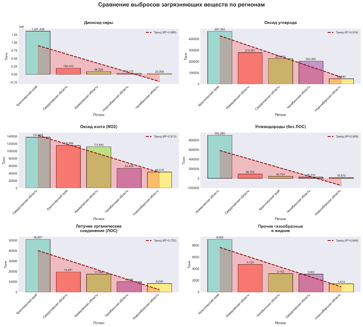
Основные показатели загрязнения воздуха по регионам (таблица 4).
Таблица 4

Основные показатели загрязнения воздуха по регионам.
Данные таблицы 4 демонстрируют, что большую часть ЗВ атмосферного воздуха являются газообразные соединения [9]. Наибольшее влияние оказывают диоксид серы, оксид углерода, оксиды азота. Среди полученных данных наименее загрязненные регионы данными соединениями, это Челябинская, Свердловская и Новосибирские области [9].
На основе полученных данных можно обоснованно утверждать, что эффективность очистки промышленных выбросов от мелкодисперсных частиц находится на высоком организационном уровне за 2025 год. На основе полученных данных из таблицы 4 возникает закономерный вопрос: как, учитывая высокую техногенную нагрузку, эффективно очищать газообразные выбросы предприятий в атмосферный воздух.
Таким образом, проведённый анализ подтверждает, что основным нерешённым звеном в системе охраны атмосферного воздуха промышленных регионов остаётся очистка от газообразных загрязнителей (оксидов серы, азота, ЛОС). Высокая эффективность существующего пылеулавливающего оборудования (более 90%) не компенсирует недостаточную нейтрализацию газовой фазы, что и определяет устойчиво высокий уровень валовых выбросов (таблица 3) [8].
Решением данной проблемы может стать широкое внедрение биотехнологических методов, адаптированных к специфике каждого производства: биоскрубберов на базе хемолитоавтотрофных микроорганизмов для металлургии, биофильтров с иммобилизованными бактериями для пищевой промышленности и гибридных био-керамических реакторов для сложных многокомпонентных выбросов (например, при производстве минеральной ваты). Предлагаемые технологии не только обеспечивают глубокую деструкцию токсичных компонентов (до 90–95%) [1, 2, 7], но и соответствуют принципам наилучших доступных технологий и циркулярной экономики, минимизируя образование вторичных отходов и энергопотребление [4].
Список литературы: