Вид работ: Проведение оценки эффективности функционирования элементов логистической системы
- Цель работы: закрепитьтеоретическиезнания,развитьаналитическиеспособностииполучитьнавыкипроведениеоценкиэффективностифункционированияэлементовлогистическойсистемы
- Продолжительность:18часов.
- 1. Транспортировка (Транспортная логистика)
- 2. Управление запасами
- 3. Складская логистика (Грузопереработка и хранение)
- 4. Закупочная логистика (Снабжение)
- 5. Сбытовая логистика (Дистрибуция)
- 6. Информационная логистика (ИТ-поддержка)
- 7. Финансовые результаты логистики
- 8. Элементы для комплексной оценки (Интегральные показатели)
- 1. Исходные данные для расчета показателей закупочной деятельности
- 2. Данные для оценки поставщиков (альтернативный выбор)
- 3. Нормативные (целевые) значения показателей закупок
- Алгоритм (методика) решения
- Шаг 1. Расчет финансовых показателей эффективности закупок
- Шаг 2. Расчет показателей надежности и качества поставок
- Шаг 3. Расчет показателей эффективности управления поставщиками
- Шаг 4. Расчет показателей операционной эффективности
- Шаг 5. Расчет показателей управления запасами
- Шаг 6. Многокритериальная оценка и выбор поставщика
- Эталон решения (выполненное задание)
- Шаг 1. Расчет финансовых показателей эффективности закупок
- Шаг 2. Расчет показателей надежности и качества поставок
- Шаг 3. Расчет показателей эффективности управления поставщиками
- Шаг 5. Расчет показателей управления запасами
- Сводная таблица результатов
- Анализ проблемных зон и «узких мест»
- 1. Низкое качество и надежность поставок
- 2. Неэффективная организация работы отдела закупок
- 3. Низкая диверсификация поставщиков
- 4. Положительные аспекты
- Рекомендации по повышению эффективности закупочной деятельности
- 1. Повышение качества и надежности поставок
- 2. Оптимизация работы отдела закупок
- 3. Диверсификация поставщиков
- 4. Внедрение системы KPI для отдела закупок
- Итоговые выводы
Цель работы: закрепить теоретические знания, развить аналитические способности и получить навыки проведение оценки эффективности функционирования элементов логистической системы
Продолжительность: 18 часов.
Оснащение: Методические указания для проведения занятий, литература, программное обеспечение.
Методические указания по выполнению работы: изучите краткие теоретические и учебно-методические материалы по теме практического занятия, выполните задания по вариантам:
Краткий теоретический материал
Направления оценки эффективности элементов логистической системы
1. Транспортировка (Транспортная логистика)
|
Элемент оценки |
Что оценивается |
Ключевые показатели (KPI) |
|
Подвижной состав |
Эффективность использования транспортных средств |
Коэффициент использования пробега (β), коэффициент использования грузоподъемности (γ), коэффициент технической готовности |
|
Маршрутизация |
Оптимальность маршрутов, доля порожнего пробега |
Среднее расстояние перевозки, количество ездок, доля порожнего пробега |
|
Затраты на транспортировку |
Себестоимость перевозок |
Себестоимость 1 ткм, 1 км пробега, 1 автомобиле-часа, затраты на топливо на 100 км |
|
Время доставки |
Скорость и своевременность |
Среднее время доставки, доля своевременных доставок, срочность (интервал от заказа до отгрузки) |
|
Работа водителей |
Эффективность использования персонала |
Выработка на 1 водителя (тонн/км/часов), соблюдение режима труда и отдыха |
2. Управление запасами
|
Элемент оценки |
Что оценивается |
Ключевые показатели (KPI) |
|
Структура запасов |
Оптимальность номенклатуры |
ABC-XYZ анализ (распределение по стоимости и стабильности спроса) |
|
Оборачиваемость |
Скорость обновления запасов |
Коэффициент оборачиваемости, срок оборота в днях |
|
Уровень запасов |
Достаточность и избыточность |
Норматив запаса, доля неликвидов (залежалых товаров), доля дефицита (stock-out) |
|
Затраты на запасы |
Экономическая эффективность |
Затраты на хранение (% от стоимости запасов), потери от иммобилизации средств |
|
Точность учета |
Качество информационной системы |
Точность инвентаризации (расхождение факта и учета), % расхождений |
3. Складская логистика (Грузопереработка и хранение)
|
Элемент оценки |
Что оценивается |
Ключевые показатели (KPI) |
|
Приемка товаров |
Скорость и качество обработки входящего потока |
Время разгрузки 1 машины, время оформления документов, количество ошибок при приемке |
|
Размещение (стеллажи) |
Эффективность использования пространства и времени |
Время на размещение 1 паллеты, коэффициент использования складского объема |
|
Хранение |
Затраты на содержание запасов |
Стоимость хранения 1 тонны/паллеты, оборачиваемость запасов, доля скоропортящихся потерь |
|
Отбор (комиссионирование) |
Скорость и точность сборки заказов |
Время сборки 1 заказа, доля ошибок при сборке (пересорт), производительность комплектовщика (строк/час) |
|
Отгрузка |
Скорость обработки исходящего потока |
Время погрузки 1 машины, количество отгруженных заказов в смену |
|
Общая эффективность склада |
Интегральная оценка |
Стоимость обработки 1 тонны груза, грузооборот склада, пропускная способность |
4. Закупочная логистика (Снабжение)
|
Элемент оценки |
Что оценивается |
Ключевые показатели (KPI) |
|
Выбор поставщиков |
Надежность и выгодность поставщиков |
Рейтинг поставщика, доля своевременных поставок, доля брака от поставщика |
|
Условия поставок |
Эффективность договорной работы |
Цена закупки, условия оплаты (отсрочка), базис поставки (Incoterms) |
|
Затраты на закупку |
Совокупная стоимость владения (TCO) |
Транспортные расходы на закупку, затраты на хранение закупленного, таможенные расходы |
|
Процесс закупки |
Скорость и качество процедур |
Длительность цикла закупки (от заявки до получения), доля срочных закупок |
5. Сбытовая логистика (Дистрибуция)
|
Элемент оценки |
Что оценивается |
Ключевые показатели (KPI) |
|
Каналы распределения |
Структура сбыта |
Доля продаж через разные каналы, затраты на содержание каналов |
|
Логистический сервис |
Качество обслуживания клиентов |
Уровень сервиса (доля выполненных заказов), полнота заказа, точность поставки |
|
Обратная связь |
Работа с возвратами |
Доля возвратов, время обработки возврата, затраты на рекламации |
|
Удовлетворенность клиентов |
Клиентоориентированность |
Индекс удовлетворенности (CSI), доля повторных заказов, частота жалоб |
6. Информационная логистика (ИТ-поддержка)
|
Элемент оценки |
Что оценивается |
Ключевые показатели (KPI) |
|
Автоматизация процессов |
Уровень цифровизации |
Доля операций, охваченных WMS/TMS/ERP, время обработки заказа в системе |
|
Точность данных |
Качество информации |
Расхождения между системами, ошибки ввода данных |
|
Прозрачность |
Отслеживаемость грузов |
Доля грузов, отслеживаемых в реальном времени, скорость предоставления информации клиенту |
7. Финансовые результаты логистики
|
Элемент оценки |
Что оценивается |
Ключевые показатели (KPI) |
|
Логистические издержки |
Общая сумма и структура затрат |
Доля логистических затрат в выручке, доля в себестоимости продукции |
|
Рентабельность |
Прибыльность логистики |
Рентабельность логистических активов, рентабельность перевозок |
|
Бюджетирование |
Планирование и контроль |
Отклонение факта от плана, экономия бюджета |
|
Инвестиции |
Эффективность вложений |
ROI (окупаемость) от внедрения нового оборудования/ПО, срок окупаемости |
8. Элементы для комплексной оценки (Интегральные показатели)
|
Элемент оценки |
Что оценивается |
Ключевые показатели (KPI) |
|
Цепь поставок (SCM) |
Сквозная эффективность |
Общее время цикла «заказ-поставка», совокупные затраты в цепи |
|
Устойчивость (ESG) |
Экологичность и ответственность |
Выбросы CO₂ на 1 ткм, доля «зеленых» перевозок, использование возвратной тары |
|
Гибкость |
Способность к адаптации |
Время реакции на изменение спроса, возможность изменения маршрутов |
ЗАДАНИЕ 1. Кейс. Расчет и анализ ключевых показателей эффективности (KPI) логистической системы
Логистическая система ООО «Регион-Трейд» занимается дистрибуцией продуктов питания в розничную сеть. Предприятие имеет собственный складской комплекс и автопарк.
Необходимо оценить эффективность работы логистической системы за 1 квартал 2025 года.
1. Исходные данные для расчета
|
№ |
Показатель |
Обозначение |
Значение |
Ед. изм. |
|
1 |
Общий грузооборот склада за период |
Q_общ |
12 500 |
тонн |
|
2 |
Площадь складского комплекса |
S_скл |
2 500 |
м² |
|
3 |
Высота потолков склада |
H |
8 |
м |
|
4 |
Общий пробег автопарка за период |
L_общ |
85 600 |
км |
|
5 |
Пробег с грузом за период |
L_гр |
62 500 |
км |
|
6 |
Количество выполненных заказов |
N_зак |
1 240 |
шт. |
|
7 |
Количество заказов, доставленных вовремя |
N_своевр |
1 116 |
шт. |
|
8 |
Общие логистические издержки за период |
З_лог |
8 250 000 |
руб. |
|
9 |
Выручка предприятия за период |
В |
42 800 000 |
руб. |
|
10 |
Стоимость запасов на начало периода |
З_н |
3 200 000 |
руб. |
|
11 |
Стоимость запасов на конец периода |
З_к |
3 800 000 |
руб. |
|
12 |
Себестоимость реализованной продукции |
С_рп |
28 500 000 |
руб. |
|
13 |
Количество автомобилей в автопарке |
N_авто |
8 |
шт. |
|
14 |
Грузоподъемность одного автомобиля |
q |
5 |
тонн |
|
15 |
Количество рабочих дней в периоде |
Д_раб |
75 |
дней |
|
16 |
Время простоев под погрузкой/разгрузкой |
Т_пр |
420 |
часов |
|
17 |
Общее время работы автопарка |
Т_раб |
7 200 |
часов |
|
18 |
Количество утерянных/испорченных грузов |
N_пот |
12,5 |
тонн |
|
19 |
Общее количество перевезенного груза |
Q_пер |
11 800 |
тонн |
2. Нормативные (целевые) значения показателей
|
Показатель |
Обозначение |
Нормативное значение |
|
Коэффициент использования пробега |
КИП |
≥ 0,7 |
|
Коэффициент использования грузоподъемности |
КИГ |
≥ 0,8 |
|
Доля логистических издержек в выручке |
Д_лог |
≤ 15% |
|
Доля своевременных доставок (OTIF) |
OTIF |
≥ 95% |
|
Оборачиваемость запасов |
Об_зап |
≥ 8 оборотов/год |
|
Коэффициент потерь при транспортировке |
К_пот |
≤ 0,1% |
|
Коэффициент использования склада по площади |
Кисп_пл |
0,4-0,7 |
|
Коэффициент использования склада по объему |
Кисп_об |
0,3-0,6 |
|
Производительность труда водителей |
ПТ |
≥ 1 500 т·км/чел |
|
Рентабельность логистических затрат |
R_лог |
≥ 25% |
Задание:
- Рассчитать систему ключевых показателей эффективности логистической системы по следующим группам:
- показатели эффективности транспорта
- показатели эффективности складского хозяйства
- показатели эффективности управления запасами
- финансовые показатели эффективности
- показатели качества логистического сервиса
- Почему коэффициент использования грузоподъемности (КИГ) так важен для оценки эффективности транспорта?
- Какие факторы могут влиять на долю логистических издержек в выручке?
- Как связаны между собой своевременность доставки и лояльность клиентов?
- Почему оборачиваемость запасов в 11 дней является отличным показателем для торговой компании?
- Какие риски возникают при низкой загрузке транспорта?
- Предложите дополнительные показатели для оценки эффективности логистической системы.
Алгоритм (методика) решения
Шаг 1. Расчет показателей эффективности транспорта
- Коэффициент использования пробега (КИП) — показывает долю пробега с грузом в общем пробеге:

- Коэффициент использования грузоподъемности (статический) (КИГ) — показывает степень загрузки автомобилей:

Примечание: Для расчета КИГ необходимо определить количество рейсов. Примем среднюю длину рейса 50 км (с грузом). Тогда:

Однако: Это значение подозрительно низкое. Вероятно, ошибка в логике. Правильнее использовать транспортную работу (т·км):
Это действительно низкий показатель, что говорит о недогрузе автомобилей.
- Коэффициент технической готовности парка (КТГ):

- Производительность труда водителей (в т/км на одного водителя):
Примем, что на 8 автомобилей работает 10 водителей (с учетом подменных).

Шаг 2. Расчет показателей эффективности складского хозяйства
- Коэффициент использования складской площади:

где Sгр — площадь, занятая под хранение груза (примем по нормативу 60% от общей):

- Коэффициент использования объема склада:

где Vскл=Sскл×H=2 500×8=20 000 м³, Примем, что груз занимает 50% объема:

- Грузонапряженность склада (тонн/м²):

В пересчете на месяц: 5 / 3 ≈ 1,67 т/м² в месяц.
- Оборачиваемость склада (количество оборотов за период):

Для расчета в тоннах нужна средняя цена тонны груза. Примем среднюю цену 2 800 руб./тонна:

В год: 10 × 4 = 40 оборотов (хороший результат).
Шаг 3. Расчет показателей управления запасами
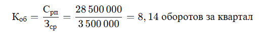
- Оборачиваемость запасов в днях:

где Дпериод=90Дпериод=90 дней (квартал).

- Коэффициент оборачиваемости запасов (количество оборотов):

В год: 8,14 × 4 = 32,56 оборотов.
Шаг 4. Расчет финансовых показателей эффективности
- Доля логистических издержек в выручке:

- Рентабельность логистических затрат:

- Затраты на 1 рубль выручки по логистике:

Шаг 5. Расчет показателей качества логистического сервиса
- Уровень своевременности доставки (OTIF — On Time In Full):

- Коэффициент потерь при транспортировке:

- Коэффициент сохранности груза:

- Количество заказов на один автомобиль в день:

Эталон решения (выполненное задание)
Сводная таблица рассчитанных показателей
|
Группа |
Показатель |
Обозначение |
Расчетное значение |
Норматив |
Отклонение |
Оценка |
|
Транспорт |
Коэффициент использования пробега |
КИП |
0,73 |
≥ 0,7 |
+0,03 |
✓ Хорошо |
|
Коэффициент использования грузоподъемности |
КИГ |
0,236 |
≥ 0,8 |
-0,564 |
✗ Критично |
|
|
Коэффициент технической готовности |
КТГ |
0,94 |
≥ 0,85 |
+0,09 |
✓ Отлично |
|
|
Производительность труда водителей |
ПТ |
787 т·км/день |
≥ 1500 |
-713 |
✗ Низкая |
|
|
Склад |
Коэффициент использования площади |
Кисп_пл |
0,6 |
0,4-0,7 |
в норме |
✓ Норма |
|
Коэффициент использования объема |
Кисп_об |
0,5 |
0,3-0,6 |
в норме |
✓ Норма |
|
|
Грузонапряженность склада |
Г |
1,67 т/м²/мес |
≥ 1,5 |
+0,17 |
✓ Хорошо |
|
|
Запасы |
Оборачиваемость запасов (дни) |
Об_дн |
11,05 дней |
30-45 дней |
быстрее |
✓ Отлично |
|
Коэффициент оборачиваемости (год) |
К_об |
32,56 |
≥ 8 |
+24,56 |
✓ Отлично |
|
|
Финансы |
Доля логистических издержек |
Д_лог |
19,3% |
≤ 15% |
+4,3% |
✗ Высокая |
|
Рентабельность логистических затрат |
R_лог |
73,3% |
≥ 25% |
+48,3% |
✓ Отлично |
|
|
Затраты на 1 рубль выручки |
З_1руб |
0,193 руб |
≤ 0,15 |
+0,043 |
✗ Высокие |
|
|
Сервис |
Своевременность доставки (OTIF) |
OTIF |
90% |
≥ 95% |
-5% |
✗ Низкая |
|
Коэффициент потерь |
К_пот |
0,106% |
≤ 0,1% |
+0,006% |
✗ Превышение |
Визуализация результатов (лепестковая диаграмма)
Для построения лепестковой диаграммы необходимо привести все показатели к единой шкале (например, процент выполнения норматива):
|
Показатель |
Норматив |
Факт |
% выполнения |
|
КИП |
0,7 |
0,73 |
104% |
|
КИГ |
0,8 |
0,236 |
29,5% |
|
КТГ |
0,85 |
0,94 |
110% |
|
OTIF |
95% |
90% |
94,7% |
|
Доля логистических издержек |
15% |
19,3% |
77,7%* |
|
Оборачиваемость запасов (дни) |
30 дн |
11 дн |
272% |
|
Коэффициент потерь |
0,1% |
0,106% |
94,3% |
**Для показателей, где меньше = лучше, используется обратное отношение: (норматив / факт) × 100%.*
Анализ проблемных зон
На основе проведенных расчетов можно выделить следующие проблемные зоны логистической системы:
- Критически низкий коэффициент использования грузоподъемности (29,5% от норматива). Автомобили загружены в среднем всего на 23,6% от возможного. Это приводит к:
- Перерасходу топлива на единицу перевезенного груза
- Неэффективному использованию автопарка
- Завышенным транспортным издержкам
- Штрафным санкциям со стороны клиентов
- Потере лояльности покупателей
- Снижению конкурентоспособности
Рекомендации по повышению эффективности
1. Оптимизация загрузки транспорта (повышение КИГ)
|
Мероприятие |
Ожидаемый эффект |
Затраты |
Сроки |
|
Консолидация мелких партий груза |
Повышение КИГ до 0,5 |
Низкие |
1 месяц |
|
Использование съемных кузовов |
Сокращение простоев |
Средние |
3 месяца |
|
Внедрение системы мониторинга загрузки |
Контроль заполняемости |
Низкие |
2 недели |
|
Поиск попутного груза для обратной загрузки |
Повышение КИП и КИГ |
Низкие |
постоянно |
Расчет экономии:
- Текущий грузооборот: 590 000 т·км за квартал
- При повышении КИГ до 0,5 (рост в 2,1 раза) грузооборот может вырасти до 1 250 000 т·км
- Дополнительная выручка (при тарифе 15 руб/т·км): (1 250 000 — 590 000) × 15 = 9 900 000 руб/квартал
2. Снижение логистических издержек
|
Мероприятие |
Ожидаемый эффект |
Затраты |
Сроки |
|
Оптимизация маршрутов доставки |
Снижение пробега на 10% |
Низкие |
1 месяц |
|
Пересмотр условий с поставщиками топлива |
Снижение цены топлива на 3% |
Низкие |
2 месяца |
|
Внедрение системы GPS-мониторинга |
Контроль расхода топлива |
Средние |
2 месяца |
Расчет экономии:
- Текущие логистические издержки: 8 250 000 руб/квартал
- Снижение на 10%: 825 000 руб/квартал
- Годовая экономия: 3 300 000 руб.
3. Повышение качества сервиса (OTIF)
|
Мероприятие |
Ожидаемый эффект |
Затраты |
Сроки |
|
Внедрение системы планирования маршрутов |
Сокращение опозданий на 50% |
Низкие |
1 месяц |
|
Создание резервного автомобиля |
Подстраховка при поломках |
Средние |
2 месяца |
|
Обучение водителей навыкам тайм-менеджмента |
Повышение пунктуальности |
Низкие |
1 месяц |
4. Снижение потерь груза
|
Мероприятие |
Ожидаемый эффект |
Затраты |
Сроки |
|
Приобретение современных средств крепления |
Снижение потерь до 0,05% |
Низкие |
1 месяц |
|
Проведение инструктажей для водителей |
Исключение нарушений правил крепления |
Низкие |
постоянно |
|
Внедрение фотофиксации загрузки |
Контроль качества крепления |
Низкие |
1 неделя |
Итоговые выводы
- Общая оценка: Логистическая система ООО «Регион-Трейд» работает с умеренной эффективностью. Сильными сторонами являются высокая оборачиваемость запасов, хорошая техническая готовность парка и высокая рентабельность логистических затрат.
- Ключевые проблемы:
- Низкая загрузка транспорта (КИГ = 0,236)
- Высокая доля логистических издержек (19,3%)
- Недостаточный уровень своевременности доставки (90%)
- Рост грузооборота в 2,1 раза без увеличения автопарка
- Снижение логистических издержек на 10-15%
- Повышение лояльности клиентов за счет улучшения сервиса
- Консолидация грузов и поиск обратной загрузки
- Оптимизация маршрутов и контроль расхода топлива
- Повышение дисциплины доставки
Варианты для индивидуальной работы
|
Вариант |
Q_общ |
L_общ |
L_гр |
N_зак |
N_своевр |
З_лог |
КИП |
OTIF |
|
1 |
12 500 |
85 600 |
62 500 |
1 240 |
1 116 |
8 250 000 |
0,73 |
90% |
|
2 |
15 000 |
92 000 |
69 000 |
1 500 |
1 425 |
9 800 000 |
0,75 |
95% |
|
3 |
10 000 |
78 000 |
50 700 |
1 000 |
920 |
7 200 000 |
0,65 |
92% |
|
4 |
18 000 |
110 000 |
88 000 |
1 800 |
1 710 |
12 500 000 |
0,80 |
95% |
|
5 |
8 500 |
70 000 |
45 500 |
850 |
765 |
6 100 000 |
0,65 |
90% |
|
6 |
12 500 |
85 600 |
62 500 |
1 240 |
1 116 |
8 250 000 |
0,73 |
90% |
|
7 |
15 000 |
92 000 |
69 000 |
1 500 |
1 425 |
9 800 000 |
0,75 |
95% |
|
8 |
10 000 |
78 000 |
50 700 |
1 000 |
920 |
7 200 000 |
0,65 |
92% |
|
9 |
18 000 |
110 000 |
88 000 |
1 800 |
1 710 |
12 500 000 |
0,80 |
95% |
|
10 |
8 500 |
70 000 |
45 500 |
850 |
765 |
6 100 000 |
0,65 |
90% |
|
11 |
12 500 |
85 600 |
62 500 |
1 240 |
1 116 |
8 250 000 |
0,73 |
90% |
|
12 |
15 000 |
92 000 |
69 000 |
1 500 |
1 425 |
9 800 000 |
0,75 |
95% |
ЗАДАНИЕ 2. Кейс. Комплексная оценка эффективности снабжения (закупок) в логистической системе
ООО «СтройКомплект» занимается производством железобетонных изделий. Предприятие осуществляет закупки сырья и материалов у нескольких поставщиков. Необходимо оценить эффективность системы снабжения за 1 полугодие 2025 года.
1. Исходные данные для расчета показателей закупочной деятельности
|
№ |
Показатель |
Обозначение |
Значение |
Ед. изм. |
|
1 |
Общий бюджет закупок на период |
Б_план |
24 500 000 |
руб. |
|
2 |
Фактические затраты на закупки |
Б_факт |
23 275 000 |
руб. |
|
3 |
Начальная (плановая) цена закупаемых материалов |
Ц_план |
100 |
руб./ед. |
|
4 |
Фактическая цена закупаемых материалов |
Ц_факт |
95 |
руб./ед. |
|
5 |
Количество поданных заявок на закупку |
N_заявок |
185 |
шт. |
|
6 |
Количество заявок, выполненных в срок |
N_вып_срок |
162 |
шт. |
|
7 |
Общее количество поставщиков в базе |
N_пост_общ |
28 |
ед. |
|
8 |
Количество поставщиков, с которыми заключены договоры |
N_пост_акт |
16 |
ед. |
|
9 |
Общее количество поставок за период |
N_поставок |
142 |
шт. |
|
10 |
Количество поставок с нарушением сроков |
N_просрочка |
23 |
шт. |
|
11 |
Количество поставок с браком/рекламациями |
N_брак |
11 |
шт. |
|
12 |
Общее количество закупаемых наименований |
N_позиций |
215 |
шт. |
|
13 |
Среднее время обработки одной заявки |
Т_обр |
2,5 |
дня |
|
14 |
Количество сотрудников отдела закупок |
Ч_сотр |
4 |
чел. |
|
15 |
Фонд оплаты труда отдела закупок |
ФОТ |
1 200 000 |
руб./мес |
|
16 |
Стоимость хранения запасов на складе |
З_хран |
680 000 |
руб./мес |
|
17 |
Стоимость запасов на начало периода |
З_н |
4 200 000 |
руб. |
|
18 |
Стоимость запасов на конец периода |
З_к |
5 800 000 |
руб. |
|
19 |
Себестоимость реализованной продукции |
С_рп |
42 500 000 |
руб. |
|
20 |
Количество рабочих дней в периоде |
Д_раб |
130 |
дней |
2. Данные для оценки поставщиков (альтернативный выбор)
Предприятие выбирает поставщика цемента для основного производства. Рассматриваются три потенциальных поставщика (А, Б, В). Необходимо выбрать наилучшего поставщика на основе многокритериальной оценки.
Характеристики поставщиков:
|
Критерий оценки |
Вес критерия, % |
Поставщик А |
Поставщик Б |
Поставщик В |
|
Цена, руб./тонна |
35 |
4 800 |
5 200 |
4 950 |
|
Качество (% брака) |
30 |
1,2 |
0,5 |
2,0 |
|
Срок поставки, дней |
20 |
5 |
3 |
7 |
|
Надежность (баллы 1-10) |
15 |
8 |
9 |
6 |
3. Нормативные (целевые) значения показателей закупок
|
Показатель |
Обозначение |
Нормативное значение |
|
Доля экономии бюджета |
Э_бюдж |
≥ 5% |
|
Отклонение цены от рыночной |
ΔЦ |
≤ 3% |
|
Уровень своевременности выполнения заявок |
У_своевр |
≥ 95% |
|
Доля просроченных поставок |
Д_проср |
≤ 5% |
|
Доля брака в поставках |
Д_брак |
≤ 3% |
|
Доля активных поставщиков |
Д_акт |
≥ 50% |
|
Оборачиваемость запасов |
Об_зап |
≥ 6 оборотов/полугодие |
|
Среднее время обработки заявки |
Т_обр |
≤ 2 дня |
|
Нагрузка на сотрудника отдела закупок |
Н_нагр |
40-60 заявок/мес |
|
Доля затрат на снабжение в себестоимости |
Д_снаб |
≤ 8% |
Задание:
- Рассчитать систему ключевых показателей эффективности закупочной деятельности по группам:
- финансовые показатели эффективности закупок
- показатели надежности и качества поставок
- показатели эффективности управления поставщиками
- показатели операционной эффективности
- показатели управления запасами
- Какие факторы влияют на надежность поставок и как можно ее оценить количественно?
- В чем преимущества и недостатки метода взвешенной оценки при выборе поставщика?
- Как связаны между собой показатели оборачиваемости запасов и эффективность закупочной деятельности?
- Какие KPI целесообразно использовать для оценки работы отдела закупок на разных уровнях управления?
- Предложите мероприятия по снижению доли брака в поставках и оцените их эффективность.
Алгоритм (методика) решения
Шаг 1. Расчет финансовых показателей эффективности закупок
Шаг 2. Расчет показателей надежности и качества поставок
Шаг 3. Расчет показателей эффективности управления поставщиками

Шаг 4. Расчет показателей операционной эффективности
Шаг 5. Расчет показателей управления запасами
Шаг 6. Многокритериальная оценка и выбор поставщика
Эталон решения (выполненное задание)
Шаг 1. Расчет финансовых показателей эффективности закупок

Это очень высокий показатель, но он характерен для материалоемких производств. В данном случае важна динамика, а не абсолютное значение.
Норматив ≤ 8% существенное превышение, так как в себестоимость ЖБИ действительно входит большая доля материалов.
Шаг 2. Расчет показателей надежности и качества поставок
Шаг 3. Расчет показателей эффективности управления поставщиками
Шаг 4. Расчет показателей операционной эффективности
Шаг 5. Расчет показателей управления запасами
Шаг 6. Многокритериальная оценка и выбор поставщика
Перевод показателей в баллы:
|
Критерий |
Вес |
Поставщик А |
Поставщик Б |
Поставщик В |
|
Цена, руб./т |
— |
4 800 |
5 200 |
4 950 |
|
Цена (баллы) |
35% |
100 |
92,3 |
97,0 |
|
Качество (% брака) |
— |
1,2 |
0,5 |
2,0 |
|
Качество (баллы)* |
30% |
40 |
100 |
0 |
|
Срок поставки, дней |
— |
5 |
3 |
7 |
|
Срок (баллы) |
20% |
60 |
100 |
42,9 |
|
Надежность (баллы 1-10) |
— |
8 |
9 |
6 |
|
Надежность (баллы 100) |
15% |
80 |
90 |
60 |
**Расчет баллов по качеству: Б_кач = (1 — Брак_i / 2,0) × 100, где 2,0 — максимальный брак.*
Расчет интегральных оценок:
Поставщик А: 100 × 0,35 + 40 × 0,30 + 60 × 0,20 + 80 × 0,15 = 35 + 12 + 12 + 12 = 71 балл
Поставщик Б: 92,3 × 0,35 + 100 × 0,30 + 100 × 0,20 + 90 × 0,15 = 32,3 + 30 + 20 + 13,5 = 95,8 баллов
Поставщик В: 97 × 0,35 + 0 × 0,30 + 42,9 × 0,20 + 60 × 0,15 = 33,95 + 0 + 8,58 + 9 = 51,5 баллов
Вывод: Оптимальным поставщиком является Поставщик Б с интегральной оценкой 95,8 баллов. Несмотря на более высокую цену, он обеспечивает лучшее качество (минимальный брак), быстрые сроки поставки и высокую надежность.
Сводная таблица результатов
|
Группа |
Показатель |
Расчетное значение |
Норматив |
Отклонение |
Оценка |
|
Финансовые |
Экономия бюджета, % |
5,0% |
≥ 5% |
0% |
✓ Норма |
|
Ценовое отклонение, % |
5,0% |
≤ 3% |
+2% |
✗ Превышение |
|
|
Доля в себестоимости, % |
64,4% |
≤ 8% |
+56,4% |
Особенность отрасли |
|
|
Надежность и качество |
Своевременность заявок (OTIF) |
87,6% |
≥ 95% |
-7,4% |
✗ Низкая |
|
Доля просрочек, % |
16,2% |
≤ 5% |
+11,2% |
✗ Критично |
|
|
Доля брака, % |
7,7% |
≤ 3% |
+4,7% |
✗ Критично |
|
|
Коэффициент надежности |
0,761 |
≥ 0,95 |
-0,189 |
✗ Низкий |
|
|
Управление поставщиками |
Доля активных, % |
57,1% |
≥ 50% |
+7,1% |
✓ Хорошо |
|
Диверсификация, % |
7,4% |
≥ 15% |
-7,6% |
✗ Низкая |
|
|
Операционные |
Нагрузка на сотрудника |
7,7 заявок/мес |
40-60 |
-32,3 |
✗ Низкая |
|
Затраты на управление, % |
30,9% |
≤ 10% |
+20,9% |
✗ Критично |
|
|
Управление запасами |
Оборачиваемость, оборотов |
8,5 |
≥ 6 |
+2,5 |
✓ Отлично |
|
Оборачиваемость, дней |
15,3 |
30-60 |
быстрее |
✓ Отлично |
Анализ проблемных зон и «узких мест»
На основе проведенных расчетов можно выделить следующие проблемные зоны в системе снабжения:
1. Низкое качество и надежность поставок
- Доля просрочек (16,2%) превышает норматив в 3 раза
- Доля брака (7,7%) превышает норматив в 2,6 раза
- Коэффициент надежности (0,76) крайне низкий
Это приводит к срывам производственного процесса, необходимости создания повышенных страховых запасов и дополнительным затратам на возврат/замену бракованной продукции .
2. Неэффективная организация работы отдела закупок
- Низкая нагрузка на сотрудников (7,7 заявок/мес) при нормативе 40-60
- Высокие затраты на управление (30,9% от бюджета закупок)
- Это указывает на избыточность персонала либо неэффективное использование рабочего времени
3. Низкая диверсификация поставщиков
- Коэффициент диверсификации (7,4%) ниже норматива
- Высокая зависимость от ограниченного круга поставщиков создает риски срыва поставок
4. Положительные аспекты
- Хорошая оборачиваемость запасов (8,5 оборотов) — запасы не залеживаются
- Экономия бюджета (5%) достигнута, но ценой качества?
Рекомендации по повышению эффективности закупочной деятельности
1. Повышение качества и надежности поставок
|
Мероприятие |
Ожидаемый эффект |
Затраты |
Сроки |
|
Внедрение системы рейтингования поставщиков |
Снижение брака на 30% |
Низкие |
2 месяца |
|
Ужесточение входного контроля качества |
Выявление брака на ранней стадии |
Средние |
1 месяц |
|
Пересмотр условий договоров (штрафные санкции) |
Сокращение просрочек на 40% |
Низкие |
2 месяца |
|
Разработка и внедрение системы мотивации поставщиков |
Повышение надежности |
Средние |
3 месяца |
Расчет экономии: Снижение доли брака с 7,7% до 3% (норматив) сократит потери на: Б_факт × (0,077 — 0,03) = 23 275 000 × 0,047 = 1 094 000 руб./полугодие
2. Оптимизация работы отдела закупок
|
Мероприятие |
Ожидаемый эффект |
Затраты |
Сроки |
|
Перераспределение функционала и загрузки |
Повышение производительности на 50% |
Низкие |
1 месяц |
|
Внедрение электронного документооборота |
Сокращение времени обработки заявок |
Средние |
3 месяца |
|
Автоматизация рутинных операций |
Снижение трудоемкости |
Средние |
4 месяца |
|
Оптимизация численности отдела (возможно сокращение) |
Снижение затрат на управление |
Высокие |
2 месяца |
Расчет экономии: Снижение затрат на управление с 30,9% до 15% (разумный уровень) сэкономит: Б_факт × (0,309 — 0,15) = 23 275 000 × 0,159 = 3 700 000 руб./полугодие
3. Диверсификация поставщиков
|
Мероприятие |
Ожидаемый эффект |
Затраты |
Сроки |
|
Поиск и привлечение новых поставщиков |
Увеличение доли активных до 65% |
Средние |
4 месяца |
|
Развитие системы стратегического партнерства |
Снижение рисков |
Низкие |
6 месяцев |
|
Внедрение категорийного управления закупками |
Оптимизация структуры поставщиков |
Средние |
8 месяцев |
4. Внедрение системы KPI для отдела закупок
Предлагается внедрить систему ключевых показателей эффективности на трех уровнях:
Уровень компании:
- выполнение плана производства (обеспеченность материалами)
- доля затрат на снабжение в себестоимости
Уровень отдела:
- доля своевременных поставок (целевой показатель: ≥ 95%)
- доля брака в поставках (целевой показатель: ≤ 3%)
- экономия бюджета закупок (целевой показатель: ≥ 4%)
Уровень сотрудника:
- количество обработанных заявок в месяц (цель: 40-50)
- качество оформления документов (отсутствие ошибок)
- скорость обработки заявки (цель: ≤ 2 дней)
Итоговые выводы
- Общая оценка эффективности снабжения: система закупок ООО «СтройКомплект» характеризуется низкой эффективностью с критическими проблемами в области качества и надежности поставок.
- Сильные стороны:
- хорошая оборачиваемость запасов (8,5 оборотов)
- достигнута экономия бюджета (5%)
- достаточная доля активных поставщиков (57%)
- критически высокая доля просроченных поставок (16,2%)
- недопустимо высокая доля брака (7,7%)
- крайне низкая эффективность работы отдела закупок (затраты на управление 30,9% при нагрузке 7,7 заявок/мес)
- снижение потерь от брака: 1,1 млн руб./полугодие
- оптимизация затрат на управление: 3,7 млн руб./полугодие
- итого потенциальная экономия: 4,8 млн руб./полугодие (20,6% от бюджета закупок)
- Срочный пересмотр договорных отношений с поставщиками (внедрение штрафных санкций)
- оптимизация численности и загрузки отдела закупок
- внедрение системы рейтингования поставщиков и категорийного управления
- диверсификация поставщиков по ключевым позициям
Варианты для индивидуальной работы
|
Вариант |
Б_план |
Б_факт |
N_заявок |
N_вып_срок |
N_просрочка |
N_брак |
|
1 |
25 500 |
22 275 |
195 |
182 |
20 |
10 |
|
2 |
18 200 |
17 400 |
142 |
135 |
7 |
4 |
|
3 |
32 600 |
31 800 |
210 |
180 |
30 |
15 |
|
4 |
15 400 |
14 900 |
98 |
92 |
6 |
3 |
|
5 |
27 800 |
28 200 |
165 |
148 |
17 |
9 |
|
6 |
25 500 |
22 275 |
195 |
172 |
14 |
10 |
|
7 |
19 200 |
17 400 |
142 |
135 |
7 |
4 |
|
8 |
33 600 |
31 800 |
210 |
160 |
31 |
15 |
|
9 |
17 400 |
14 900 |
98 |
82 |
8 |
3 |
|
10 |
29 800 |
24 200 |
165 |
158 |
14 |
9 |
|
11 |
21 500 |
20 275 |
195 |
172 |
21 |
10 |
|
12 |
16 200 |
12 400 |
142 |
128 |
7 |
4 |
ЗАДАНИЕ 3. Кейс. Оценка эффективности складской грузопереработки
Вы работаете логистом на распределительном складе компании ООО «ТехноСнаб», который занимается оптовой торговлей электроникой и бытовой техникой.
Характеристика склада:
- тип склада: открытый в 2018 году, стеллажный (паллетное хранение).
- режим работы: 5 дней в неделю с 9:00 до 18:00 (одна смена).
- штат складских рабочих: 10 человек (грузчики-комплектовщики).
- средняя заработная плата одного рабочего (с налогами): 45 000 руб./мес.
- стоимость погрузочной техники (электропогрузчики, гидравлические тележки) в пересчете на амортизацию и обслуживание: 120 000 руб./мес.
- стоимость аренды и коммунальных услуг склада: 500 000 руб./мес.
- прочие накладные расходы склада: 150 000 руб./мес.
Ситуация:
Руководство компании заметило, что, несмотря на стабильный товарооборот, затраты на складскую логистику растут, а скорость обработки заказов падает. Менеджер по логистике уволился, не оставив отчетов.
Ваша задача — провести экспресс-аудит склада за прошедший месяц (октябрь 2024), оценить эффективность грузопереработки по ключевым операциям и предложить меры по оптимизации.
Сформулировать вывод в целом об оценки эффективности складской грузопереработки.
Таблица – Исходные данные (числовой материал) за октябрь 2024 года
|
Показатель |
Значение |
|
1. Объем поступившего груза (Приход) |
|
|
Всего поступило товара, тонн |
1 500 |
|
Количество грузовых машин (фур), ед. |
75 |
|
Среднее время разгрузки одной машины, часов |
2,5 |
|
2. Размещение (Внутрискладское перемещение) |
|
|
Количество паллет, размещенных в стеллажи, ед. |
6 000 |
|
Среднее время на размещение одной паллеты (от зоны приемки до ячейки), минут |
6 |
|
3. Отбор (Комиссионирование/Сборка заказов) |
|
|
Отгружено товара за месяц, тонн |
1 400 |
|
Количество собранных заказов (клиентских накладных), ед. |
2 000 |
|
Среднее время сборки одного заказа, часов |
1,2 |
|
Доля ошибок при сборке, % |
3 |
|
На исправление одной ошибки тратится в среднем времени кладовщика, часов |
2 |
|
На исправление одной ошибки тратится накладных расходов (пересорт, возвраты), руб. |
1 000 |
|
4. Отгрузка |
|
|
Количество отгруженных машин, ед. |
80 |
|
Среднее время погрузки одной машины, часов |
2 |
|
5. Финансовые показатели склада за месяц |
|
|
ФОТ рабочих (10 чел. × 45 000 руб.), руб. |
450 000 |
|
Техника (амортизация/обслуживание), руб. |
120 000 |
|
Аренда и коммуналка, руб. |
500 000 |
|
Прочие расходы, руб. |
150 000 |
|
ИТОГО затрат на склад, руб. |
1 220 000 |
Методика (алгоритм) решения
Для оценки эффективности складской грузопереработки используется комплексный подход. Необходимо выполнить следующие шаги:
Шаг 1. Расчет производительности труда.
Показывает, сколько тонн или операций приходится на одного работника. Рост показателя — признак эффективности.
Производительность (т/чел) =
Общий грузооборот (приход + отгрузка) / Количество рабочих
Шаг 2. Анализ стоимости грузопереработки (себестоимость обработки 1 тонны). Ключевой показатель эффективности склада.
Стоимость обработки 1 т =
Общие затраты склада за месяц / Общий грузооборот (тонн)
Шаг 3. Хронометраж операций (Скорость работы). Сравнение фактических затрат времени с нормативными (или расчет времени на операции). Расчет трудозатрат в часах.
Общее время на приемку = Кол-во машин * Время разгрузки 1 машины
Общее время на размещение = Кол-во паллет * Время на 1 паллету
И так далее по каждой операции.
Шаг 4. Оценка качества (Уровень сервиса). Влияние ошибок на общие затраты и репутацию.
Доля безошибочных заказов =
((Общее кол-во заказов — Кол-во ошибочных) / Общее кол-во заказов) * 100%
Потери от брака/ошибок = Кол-во ошибок * Стоимость одной ошибки
Шаг 5. Анализ использования рабочего времени (ФРВ). Сравнение доступного фонда времени и фактически затраченного. Выявление простоев или неэффективного планирования.
Доступный фонд времени (час) =
Кол-во рабочих * Кол-во рабочих дней в месяце * 8 часов
Решение кейса (Расчетная часть)
Шаг 1. Производительность труда
Общий грузооборот склада = Приход + Отгрузка = 1 500 т + 1 400 т = 2 900 тонн.
Количество рабочих = 10 человек.
Производительность = 2 900 т / 10 чел = 290 тонн на человека.
Интерпретация: Каждый сотрудник «пропустил через себя» 290 тонн груза. Для оценки нужно сравнить со средними показателями по отрасли (бенчмаркинг), но для начала примем как факт.
Шаг 2. Стоимость грузопереработки
Общие затраты склада = 1 220 000 руб.
Стоимость обработки 1 тонны = 1 220 000 руб. / 2 900 т = 420,7 руб/тонна.
Вывод: Чтобы склад был эффективен, эта цифра должна стремиться к минимуму. Посмотрим, можем ли мы ее снизить.
Шаг 3. Анализ времени операций (Трудоемкость)
Рассчитаем, сколько человеко-часов было потрачено на основные операции.
Приемка: 75 машин * 2,5 часа = 187,5 чел.-часов.
Размещение: 6 000 паллет * (6 мин / 60 мин) = 6 000 * 0,1 = 600 чел.-часов.
Комиссионирование (сборка): 2 000 заказов * 1,2 часа = 2 400 чел.-часов.
Отгрузка: 80 машин * 2 часа = 160 чел.-часов.
Итого прямых затрат времени: 187,5 + 600 + 2 400 + 160 = 3 347,5 чел.-часов.
Шаг 4. Анализ потерь от ошибок
Количество ошибочных заказов: 2 000 заказов * 3% = 60 заказов.
Время на исправление ошибок: 60 ошибок * 2 часа = 120 чел.-часов.
Финансовые потери от ошибок: 60 ошибок * 1 000 руб. = 60 000 руб.
Важно: Эти 120 часов — это время, которое сотрудники потратили не на полезную работу, а на «переделывание». Это скрытые потери производительности.
Шаг 5. Баланс рабочего времени и эффективность
Доступный фонд времени в октябре (22 рабочих дня):
10 чел * 22 дня * 8 часов = 1 760 чел.-часов.
Сравним доступный фонд и наши расчетные затраты:
Фактически отработано (по прямым операциям) = 3 347,5 часов.
Парадокс: 3 347,5 часов (нужно) > 1 760 часов (есть в одну смену).
Вывод:
Мы выявили критическую проблему. Расчет показывает, что для выполнения всего объема работ в текущем режиме штата из 10 человек катастрофически не хватает. Это возможно только если:
а) Люди работают сверхурочно (скрытые переработки).
б) Часть операций (скорее всего, размещение) выполняется неправильно или время на операцию занижено.
в) Низкая эффективность использования техники.
Разница (3 347,5 — 1 760 = 1 587,5 часов) — это либо дефицит кадров (нужно еще 9 человек! 1587,5 / (22*8) ≈ 9), либо неверные исходные данные по времени операций.
Итоговые выводы и рекомендации
Проблемы, выявленные в ходе анализа:
Дефицит рабочего времени. Штат в 10 человек физически не может выполнить заявленный объем работ за стандартную 40-часовую неделю. Это главная «красная лампочка».
Высокий уровень ошибок. 3% брака привели к потере 120 человеко-часов и 60 000 руб. прямых убытков.
Дисбаланс операций. Операция «Размещение» (600 часов) и «Комиссионирование» (2400 часов) являются самыми трудоемкими. Именно здесь кроется потенциал для оптимизации.
Неэффективные процессы. Совокупные затраты склада высоки, и часть из них — это затраты на исправление брака и потенциальные сверхурочные (которые не учтены в ФОТ, но вероятно, выплачиваются).
Рекомендации по повышению эффективности грузопереработки:
А. Организационные меры (быстрый эффект):
Хронометраж и пересмотр нормативов. Необходимо провести замеры времени на операции «размещение» и «сборка». Возможно, текущие нормативы (6 мин на паллету, 1,2 ч на заказ) занижены и не отражают реальность. Это объяснило бы «дефицит» времени.
Мотивация за качество. Внедрить систему KPI для кладовщиков, где премия зависит не только от выработки, но и от отсутствия ошибок (штраф за пересорт).
Б. Технологические меры (инвестиции):
Внедрение адресного хранения и ТСД. Если на складе до сих пор используются бумажные технологии, переход на терминалы сбора данных (ТСД) при размещении и отборе может сократить время операций на 20-30% и свести ошибки к минимуму.
Оптимизация маршрутов и зон хранения. Провести ABC-анализ (по нашим данным не проводили) и разместить часто запрашиваемые товары (группа А) ближе к зоне отгрузки, чтобы сократить плечо перемещения комплектовщиков.
В. Кадровые решения:
Увеличить штат на 2-3 человека (с учетом пересмотренных нормативов), либо официально ввести вторую смену, если склад работает с пиковыми нагрузками во второй половине дня.
Экономический эффект от предложений (прогноз):
Снижение ошибок с 3% до 1% сэкономит: (60 — 20) ошибок * 1000 руб. = 40 000 руб./мес. + 80 часов рабочего времени.
Внедрение ТСД может сократить время сборки на 20%: (2 400 часов * 0,2) = 480 часов экономии, что эквивалентно высвобождению 2-3 человек без потери производительности.
Таким образом, текущая стоимость обработки тонны груза составляет 420,7 руб., при этом склад работает на пределе человеческих ресурсов с низким качеством процессов. Основной резерв повышения эффективности — автоматизация учета (ТСД) и пересмотр системы мотивации.
Таблица — Исходные данные для оценки эффективности грузопереработки на складе (12 вариантов)
|
Показатель |
Вар. 1 |
Вар.2 |
Вар. 3 |
Вар. 4 |
Вар. 5 |
Вар. 6 |
Вар. 7 |
Вар. 8 |
Вар. 9 |
Вар. 10 |
Вар. 11 |
Вар. 12 |
|
1. Объем поступившего груза (Приход) |
||||||||||||
|
Всего поступило товара, тонн |
1 200 |
1 800 |
1 000 |
2 000 |
1 350 |
2 200 |
900 |
1 650 |
1 750 |
1 100 |
1 900 |
1 250 |
|
Количество грузовых машин (фур), ед. |
60 |
90 |
50 |
100 |
68 |
110 |
45 |
82 |
88 |
55 |
95 |
62 |
|
Среднее время разгрузки одной машины, часов |
2,0 |
3,0 |
2,2 |
2,8 |
2,3 |
3,2 |
2,1 |
2,6 |
2,7 |
2,4 |
2,9 |
2,3 |
|
2. Размещение (Внутрискладское перемещение) |
||||||||||||
|
Количество паллет, размещенных в стеллажи, ед. |
4 800 |
7 200 |
4 000 |
8 000 |
5 400 |
8 800 |
3 600 |
6 600 |
7 000 |
4 400 |
7 600 |
5 000 |
|
Среднее время на размещение одной паллеты, минут |
5,0 |
7,0 |
5,5 |
8,0 |
6,2 |
7,5 |
5,2 |
6,5 |
6,8 |
5,8 |
7,2 |
6,3 |
|
3. Отбор (Комиссионирование/Сборка заказов) |
||||||||||||
|
Отгружено товара за месяц, тонн |
1 150 |
1 700 |
950 |
1 900 |
1 280 |
2 100 |
850 |
1 550 |
1 650 |
1 050 |
1 800 |
1 180 |
|
Количество собранных заказов, ед. |
1 800 |
2 400 |
1 500 |
2 600 |
1 900 |
2 800 |
1 400 |
2 200 |
2 300 |
1 600 |
2 500 |
1 750 |
|
Среднее время сборки одного заказа, часов |
1,0 |
1,4 |
1,1 |
1,5 |
1,15 |
1,6 |
1,05 |
1,3 |
1,35 |
1,08 |
1,45 |
1,12 |
|
Доля ошибок при сборке, % |
2,0 |
4,0 |
2,5 |
3,5 |
2,8 |
4,5 |
2,2 |
3,2 |
3,8 |
2,6 |
4,2 |
2,9 |
|
Время на исправление одной ошибки, часов |
1,5 |
2,5 |
1,8 |
2,2 |
1,9 |
2,8 |
1,6 |
2,1 |
2,3 |
1,7 |
2,6 |
1,9 |
|
Накладные расходы на одну ошибку, руб. |
800 |
1 200 |
900 |
1 100 |
950 |
1 300 |
850 |
1 050 |
1 150 |
880 |
1 250 |
920 |
|
4. Отгрузка |
||||||||||||
|
Количество отгруженных машин, ед. |
70 |
95 |
60 |
110 |
75 |
120 |
55 |
90 |
100 |
65 |
105 |
72 |
|
Среднее время погрузки одной машины, часов |
1,8 |
2,3 |
1,9 |
2,5 |
2,1 |
2,7 |
1,7 |
2,2 |
2,4 |
1,9 |
2,6 |
2,0 |
|
5. Финансовые показатели склада за месяц |
||||||||||||
|
Количество рабочих, чел. |
8 |
12 |
9 |
14 |
10 |
15 |
8 |
11 |
12 |
9 |
13 |
10 |
|
Зарплата одного рабочего, руб./мес. |
40000 |
47000 |
42000 |
50000 |
44000 |
52000 |
41000 |
46000 |
48000 |
43000 |
49000 |
44500 |
|
ФОТ рабочих (всего), руб. |
320000 |
564000 |
378000 |
700000 |
440000 |
780000 |
328000 |
506000 |
576000 |
387000 |
637000 |
445000 |
|
Техника (амортизация/обслуживание), руб. |
100000 |
150000 |
110000 |
180000 |
125000 |
200000 |
95000 |
140000 |
160000 |
105000 |
170000 |
115000 |
|
Аренда и коммуналка, руб. |
400000 |
600000 |
450000 |
700000 |
480000 |
800000 |
380000 |
550000 |
620000 |
420000 |
680000 |
460000 |
|
Прочие расходы, руб. |
120000 |
180000 |
130000 |
200000 |
140000 |
220000 |
110000 |
160000 |
170000 |
125000 |
190000 |
135000 |
|
ИТОГО затрат на склад, руб. |
940000 |
1494000 |
1068000 |
1780000 |
1185000 |
200000 |
913000 |
1356000 |
1526000 |
1037000 |
1677000 |
1155000 |
ЗАДАНИЕ 4: Кейс. Оценка эффективности транспортировки грузов
Вы работаете логистом в транспортном отделе компании ООО «Регион-Логистик», которая занимается доставкой строительных материалов по Краснодарскому краю и соседним регионам.
Характеристика парка и условий работы:
- Марка подвижного состава: КАМАЗ-65115 (самосвал) с грузоподъемностью 15 тонн.
- Режим работы: 6 дней в неделю, 1 смена (8 часов).
- Количество автомобилей в парке: 5 единиц.
- Вид перевозок: внутрирегиональные (межгород) доставка щебня и песка.
Ситуация: Руководство компании обеспокоено ростом затрат на эксплуатацию транспорта. В прошлом месяце (октябрь 2025) был выполнен значительный объем перевозок, но прибыль осталась на прежнем уровне. Вам поручено провести анализ эффективности использования подвижного состава, рассчитать ключевые показатели и предложить меры по оптимизации затрат.
Исходные данные (Числовой материал) за октябрь 2025
Таблица – Исходные данные для анализа эффективности транспортировки
|
Показатель |
Значение |
|
1. Показатели работы подвижного состава |
|
|
Количество автомобилей в парке, ед. |
5 |
|
Грузоподъемность одного автомобиля, тонн |
15 |
|
Общий объем перевезенного груза за месяц, тонн |
4 500 |
|
Общий пробег всех автомобилей за месяц, км |
18 000 |
|
Пробег с грузом (грузовый пробег), км |
12 600 |
|
Время в наряде (общее за месяц), часов |
960 |
|
Количество ездок с грузом за месяц, ед. |
300 |
|
Коэффициент использования пробега (β) – рассчитать |
? |
|
Коэффициент использования грузоподъемности (γ) – рассчитать |
? |
|
Среднее расстояние перевозки (lср), км |
42 |
|
Среднетехническая скорость (Vт), км/ч |
40 |
|
2. Затраты на эксплуатацию (на один автомобиль в месяц) |
|
|
Заработная плата водителя (с налогами), руб. |
65 000 |
|
Затраты на топливо (дизель), руб. |
85 000 |
|
Затраты на смазочные материалы, руб. |
12 000 |
|
Затраты на техническое обслуживание и ремонт, руб. |
25 000 |
|
Амортизация подвижного состава, руб. |
30 000 |
|
Шины и прочие расходы, руб. |
8 000 |
|
Накладные расходы (управление, страховка), руб. |
15 000 |
|
ИТОГО затрат на 1 автомобиль в месяц, руб. |
240 000 |
Методика (алгоритм) решения
Для оценки эффективности транспортировки необходимо выполнить следующие шаги:
Шаг 1. Расчет технико-эксплуатационных показателей (ТЭП)
Данные показатели характеризуют интенсивность и качество использования подвижного состава.
- Коэффициент использования пробега (β):
Формула: β = Пробег с грузом / Общий пробег
Характеризует эффективность маршрутизации. Чем ближе к 1, тем меньше порожних пробегов. Для маятниковых маршрутов с обратным порожним пробегом нормой считается 0,5. Для кольцевых и при наличии обратной загрузки — выше 0,7-0,8.
- Коэффициент использования грузоподъемности (γ):
Формула: γ = Фактическая загрузка / Номинальная грузоподъемность
Примечание: Для расчета нужна средняя фактическая загрузка. Если данных нет, можно принять, что автомобили грузятся по максимуму (γ = 1), либо рассчитать через объем перевозок и количество ездок.
- Среднее расстояние перевозки с грузом (lег):
Формула: lег = Пробег с грузом / Количество ездок
Важно увеличивать пробег с грузом. Порожний пробег не приносит дохода, но создает затраты (топливо, износ, зарплата водителя за время в пути). Увеличение пробега с грузом распределяет постоянные затраты на больший объем транспортной работы, снижая себестоимость единицы.
- Средняя фактическая загрузка (qф):
Формула: qф = Общий объем перевозок / Количество ездок
- Выработка на одну автомобиле-тонну (W) показывает, сколько тонн перевезено в расчете на 1 тонну грузоподъемности парка.
Формула: W = Общий объем перевозок / (Кол-во авто * Грузоподъемность)
Шаг 2. Расчет себестоимости перевозок
Себестоимость — ключевой показатель эффективности. Рассчитывается в двух вариантах.
- Себестоимость 1 тонно-километра (S т/км). Показывает затраты на перемещение 1 тонны груза на 1 км.
Формула: S ткм = Общие затраты парка / (Объем перевозок * Среднее расстояние)
Единица измерения: руб./ткм.
- Себестоимость 1 километра пробега (S км). Показывает затраты на 1 км общего пробега.
Формула: S км = Общие затраты парка / Общий пробег
Единица измерения: руб./км.
Себестоимость 1 т/км складывается из переменных (топливо, смазочные материалы, ремонт, шины) и постоянных затрат (зарплата, амортизация, накладные расходы), отнесенных на 1 ткм транспортной работы.
- Себестоимость 1 автомобиле-часа работы (S ач). Показывает затраты за 1 час работы автомобиля.
Формула: S ач = Общие затраты парка / Время в наряде
Единица измерения: руб./час.
Шаг 3. Анализ эффективности использования рабочего времени
- Выработка на 1 автомобиле-час (Wч):
Формула: Wч = Общий объем перевозок / Время в наряде
Единица измерения: тонн/час.
- Коэффициент использования времени в наряде (косвенно):
Можно оценить через соотношение времени движения и времени простоев. В данном кейсе оценивается через количество ездок и расстояние.
Шаг 4. Формулировка выводов и рекомендаций
На основе полученных расчетов необходимо:
- сравнить фактические показатели с нормативными/среднеотраслевыми (если они известны студенту).
- выявить «узкие места» (низкий коэффициент пробега, высокая себестоимость, перерасход топлива).
- предложить мероприятия по повышению эффективности.
Решение кейса (Расчетная часть)
Шаг 1. Расчет технико-эксплуатационных показателей
- Коэффициент использования пробега (β): β = 12 600 км / 18 000 км = 0,7
- Средняя фактическая загрузка (qф): qф = 4 500 тонн / 300 ездок = 15 тонн.
Вывод: Автомобили используются с полной загрузкой (совпадает с номиналом).
- Коэффициент использования грузоподъемности (γ): γ = 15 т / 15 т = 1,0
- Среднее расстояние перевозки с грузом (lег): lег = 12 600 км / 300 ездок = 42 км (совпадает с заданным).
- Выработка на одну автомобиле-тонну (W):
Суммарная грузоподъемность парка = 5 авто * 15 т = 75 тонн.
W = 4 500 т / 75 т = 60.
Шаг 2. Расчет себестоимости перевозок
- Общие затраты всего парка за месяц:
1 автомобиль = 240 000 руб.
5 автомобилей = 240 000 * 5 = 1 200 000 руб.
- Транспортная работа (грузооборот):
Q = Объем перевозок * Среднее расстояние = 4 500 т * 42 км = 189 000 ткм.
- Себестоимость 1 тонно-километра (S ткм):
S ткм = 1 200 000 руб. / 189 000 ткм = 6,35 руб./ткм.
- Себестоимость 1 километра пробега (S км):
S км = 1 200 000 руб. / 18 000 км = 66,67 руб./км.
- Себестоимость 1 автомобиле-часа работы (S ач):
S ач = 1 200 000 руб. / 960 ч = 1 250 руб./час.
Шаг 3. Анализ эффективности использования времени
- Выработка на 1 автомобиле-час (Wч): Wч = 4 500 т / 960 ч = 4,69 тонн/час.
Шаг 4. Анализ полученных результатов
|
Показатель |
Значение |
Норматив/Оценка |
|
Коэффициент использования пробега (β) |
0,7 |
При внутригородских/региональных перевозках хороший показатель ≥ 0,5. У нас 0,7 — хорошо. |
|
Коэффициент грузоподъемности (γ) |
1,0 |
Отлично. Полное использование вместимости. |
|
Себестоимость 1 ткм |
6,35 руб. |
Для самосвалов на средние расстояния приемлемо. |
|
Себестоимость 1 км |
66,67 руб. |
Высокий показатель из-за больших затрат на топливо. |
|
Выработка на 1 час |
4,69 т/ч |
Можно сравнить с прошлым периодом. |
Итоговые выводы и рекомендации
1. Проблемы, выявленные в ходе анализа:
- Недостаточно высокий коэффициент использования пробега (0,7) 30% пробега — порожний. Это означает, что автомобили возвращаются пустыми, не принося выручку, но сжигая топливо.
- Высокая себестоимость 1 км пробега (66,67 руб.). Основная причина — затраты на топливо (85 000 руб. на авто) и амортизацию. Возможен перерасход топлива или неоптимальные маршруты.
- Неравномерность загрузки во времени. Выработка в 4,69 т/ч может быть увеличена за счет сокращения простоев.
2. Рекомендации по повышению эффективности транспортировки:
А. Организационные меры (снижение порожнего пробега):
- Поиск попутного груза. Активно искать заказы на обратную загрузку (доски, металл, другие сыпучие). Это позволит увеличить пробег с грузом и повысить β до 0,85-0,9.
- Оптимизация маршрутов. Внедрение навигационных систем (ГЛОНАСС/GPS) с функцией антипробок и построения оптимальных маршрутов для снижения общего пробега.
Б. Технико-экономические меры (снижение затрат):
- Контроль расхода топлива. Установка датчиков уровня топлива для исключения сливов и нецелевого использования. Пересмотр норм расхода топлива на зимний период.
- Повышение квалификации водителей. Обучение экономичному стилю вождения (эко-драйвинг) позволяет снизить расход топлива на 5-10%.
В. Коммерческие меры:
Анализ тарифной политики. Сравнить себестоимость (6,35 руб./ткм) с ценой для заказчиков. Если тариф ниже себестоимости, компания работает в убыток. Необходимо поднимать цены или искать более маржинальные грузы.
3. Экономический эффект от предложений (прогноз):
Повышение β с 0,7 до 0,85:
Груженый пробег составит: 18 000 км * 0,85 = 15 300 км (+2 700 км груженого пробега).
Дополнительный доход от перевозки груза на обратном пути при тарифе 8 руб./ткм: (2 700 км * 15 т) * 8 руб. = 324 000 руб. дополнительной выручки.
Снижение расхода топлива на 8%:
Текущие затраты на топливо парка: 85 000 * 5 = 425 000 руб.
Экономия: 425 000 * 0,08 = 34 000 руб./мес.
Таблица – Исходные данные для оценки эффективности транспортировки (12 вариантов)
|
Показатель |
Вар. 1 |
Вар. 2 |
Вар. 3 |
Вар. 4 |
Вар. 5 |
Вар. 6 |
Вар. 7 |
Вар. 8 |
Вар. 9 |
Вар. 10 |
Вар. 11 |
Вар. 12 |
|
1. Показатели работы подвижного состава |
||||||||||||
|
Количество автомобилей в парке, ед. |
4 |
6 |
5 |
7 |
5 |
8 |
4 |
6 |
7 |
5 |
6 |
5 |
|
Грузоподъемность одного автомобиля, тонн |
12 |
15 |
20 |
15 |
10 |
20 |
15 |
12 |
15 |
20 |
15 |
12 |
|
Общий объем перевезенного груза за месяц, тонн |
3 200 |
5 400 |
6 000 |
6 300 |
3 500 |
8 000 |
2 800 |
4 800 |
6 500 |
5 500 |
5 200 |
4 200 |
|
Общий пробег всех автомобилей за месяц, км |
14 000 |
22 000 |
25 000 |
24 000 |
16 000 |
30 000 |
12 000 |
20 000 |
26 000 |
23 000 |
21 000 |
18 500 |
|
Пробег с грузом (грузовый пробег), км |
9 800 |
15 400 |
17 500 |
16 800 |
11 200 |
21 000 |
8 400 |
14 000 |
18 200 |
16 100 |
14 700 |
12 950 |
|
Время в наряде (общее за месяц), часов |
800 |
1 100 |
1 250 |
1 200 |
900 |
1 500 |
700 |
1 050 |
1 300 |
1 150 |
1 080 |
950 |
|
Количество ездок с грузом за месяц, ед. |
260 |
350 |
380 |
400 |
280 |
450 |
220 |
320 |
380 |
340 |
330 |
300 |
|
Среднее расстояние перевозки (lср), км |
38 |
44 |
46 |
42 |
40 |
47 |
38 |
44 |
48 |
45 |
44 |
43 |
|
Среднетехническая скорость (Vт), км/ч |
38 |
42 |
40 |
45 |
38 |
42 |
40 |
38 |
42 |
40 |
45 |
40 |
|
2. Затраты на эксплуатацию (на один автомобиль в месяц), руб. |
||||||||||||
|
Заработная плата водителя (с налогами) |
60 000 |
68 000 |
70 000 |
65 000 |
62 000 |
75 000 |
58 000 |
64 000 |
72 000 |
68 000 |
66 000 |
63 000 |
|
Затраты на топливо (дизель) |
78 000 |
92 000 |
95 000 |
88 000 |
80 000 |
105000 |
75 000 |
86 000 |
98 000 |
90 000 |
88 000 |
82 000 |
|
Затраты на смазочные материалы |
10 000 |
14 000 |
15 000 |
13 000 |
11 000 |
18 000 |
9 500 |
12 000 |
16 000 |
14 000 |
13 000 |
11 500 |
|
Затраты на ТО и ремонт |
22 000 |
28 000 |
30 000 |
26 000 |
24 000 |
35 000 |
20 000 |
25 000 |
32 000 |
27 000 |
26 000 |
23 000 |
|
Амортизация подвижного состава |
25 000 |
32 000 |
35 000 |
30 000 |
28 000 |
40 000 |
24 000 |
28 000 |
36 000 |
32 000 |
30 000 |
27 000 |
|
Шины и прочие расходы |
7 000 |
9 000 |
10 000 |
8 500 |
7 500 |
12 000 |
6 500 |
8 000 |
11 000 |
9 000 |
8 500 |
7 500 |
|
Накладные расходы (управление, страховка) |
13 000 |
17 000 |
18 000 |
15 500 |
14 000 |
22 000 |
12 000 |
15 000 |
19 000 |
16 000 |
15 500 |
14 000 |
|
ИТОГО затрат на 1 автомобиль в месяц, руб. |
215000 |
260000 |
273000 |
246000 |
226500 |
307000 |
205000 |
238000 |
284000 |
256000 |
247000 |
228000 |
ЗАДАНИЕ 5. Сформулируйте общий вывод о проектировании на уровне подразделения (участка) логистической системы.
Форма отчета: выполнение заданий в электронном формате отчета по практике в соответствии с МУ по оформлению (нормоконтролю) индивидуальных проектов, отчетов по практике, курсовых работ, выпускных квалификационных (дипломных) работ.








