3.5. Рассмотрите рисунок строения молекулы сахарозы. Почему сахарозу относят к двойным углеводам? Какие еще углеводы относят к двойным сахарам?
_________________________________________________
_________________________________________________
_________________________________________________
_________________________________________________
_________________________________________________
_____________________________________________________________________________.
3.6. Рассмотрите рисунок строения молекулы крахмала. Почему крахмал относят к сложным углеводам или полисахаридам? Какие еще углеводы относят к полисахаридам?
______________________
______________________
______________________
______________________
______________________
______________________
_____________________________________________________________________________
_____________________________________________________________________________
_____________________________________________________________________________.
3.7. Рассмотрите предложенный рисунок и охарактеризуйте функции белков, используя учебник и помощь преподавателя:

Строительная — ______________________________________________________________
_______________________________________________________________________________________________________________________________________________________________________________________________________________________________________
_____________________________________________________________________________
_____________________________________________________________________________
_____________________________________________________________________________.
Энергетическая — ____________________________________________________________
__________________________________________________________________________________________________________________________________________________________.
Запасающая — ________________________________________________________________
__________________________________________________________________________________________________________________________________________________________
__________________________________________________________________________________________________________________________________________________________.
3.8. Рассмотрите предложенный рисунок, напишите названия продуктов питания, богатых углеводами, расположив их в порядке уменьшения количества углеводов в пересчете на 100 граммов продукта:
_________________________________
_________________________________
_________________________________
_________________________________
_________________________________
_________________________________
_________________________________
_________________________________
_________________________________
_________________________________
_________________________________
4.1. Просмотрите видео-опыт.
Возьмите семя подсолнечника, положите на лист белой бумаги и раздавите. Что появится на листе белой бумаги? О чем это свидетельствует? _________________________________
_____________________________________________________________________________
_____________________________________________________________________________.
3.2. Дайте определение:
Липиды – это _________________________________________________________________
__________________________________________________________________________________________________________________________________________________________.
3.3. Заполните схему классификации жиров, в зависимости от их происхождения:
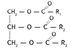
3.4. Рассмотрите строение молекулы липида, отметьте функциональные части:

_____________________________________________
_____________________________________________
_____________________________________________
_____________________________________________
_____________________________________________
_____________________________________________
_____________________________________________.
3.5. Рассмотрите предложенный рисунок и охарактеризуйте функции жиров, используя учебник и помощь преподавателя:

Строительная — ______________________________________________________________
_____________________________________________________________________________
_____________________________________________________________________________
_____________________________________________________________________________.
Энергетическая — ____________________________________________________________
__________________________________________________________________________________________________________________________________________________________
__________________________________________________________________________________________________________________________________________________________.
Метаболическая — ____________________________________________________________
__________________________________________________________________________________________________________________________________________________________